行業資訊
高速公路停車視距可靠性設計
近年來,我國道路建設取得了巨大成就,但道路交通安全問題仍然十分嚴峻。其中,大多交通事故的發生與視距有密切關系,尤其是汽車高速行駛時,若視距不足將導致駕駛員遇見緊急情況時不能及時采取措施,事故發生不可避免。
很多學者就視距導致的安全問題做了相關研究[1-4]。趙永平等[5]通過分析在中央分隔帶外側超車道上駕駛員的視點位置以及橫凈距,計算該段道路提供的停車視距值不滿足規范的要求,提出了相應的解決方案。袁浩等[6]從運動學的角度,用制動減速度來綜合描述整個制動過程,得到新的停車視距計算模型。這些研究從多方面考慮行車安全中視距不足的問題。
停車視距在道路線形設計中越來越得到重視,在研究視距特點、取值滿足規范及保證設計安全的同時,究竟其安全水平有多高,規范中沒有說明。特別是當因受條件限制而取規范最小值時,設計指標的預期安全效果將會更加不明確。鑒于此,1990年,Navin等[7-11]最先將可靠性理論引入到道路工程中去,并采用相關案例進行說明。游克思等[12]將車速、路面摩擦系數作為隨機變量,以汽車發生側滑為失效條件構建可靠函數,分析汽車在曲線段的安全性。朱興琳[13]以概率論為基礎建立各個設計指標的可靠度模型,并分析各個指標數值的變化對相應可靠度模型的失效概率的影響。
基于此,本研究從汽車的實際制動過程出發,建立較符合實際的停車視距模型;由停車視距模型構建可靠度功能函數;在一級安全等級下,計算出不同設計速度下滿足可靠度要求的停車視距值,探究基于可靠度理論的視距選用標準,給出相應指標的推薦值。
1 建立視距模型高速公路與一級公路以停車視距作為視距要求,二、三、四級公路以會車視距作為視距要求,其長度一般為停車視距的兩倍。本研究主要討論停車視距值的安全可靠性并計算其推薦值,供道路路線設計參考。
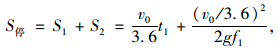
現行規范《公路工程技術標準》(JTG B01—2014)的停車視距由兩部分組成:①駕駛者在反應時間內行駛的距離S1(m);②開始制動到剎車停止所行駛的距離,即制動距離S2(m)。停車視距計算公式為:
![]() |
(1) |
式中,v0為汽車運行速度;f1為縱向摩阻系數,依車速及路面狀況而定;g為重力加速度(9.8 m/s2);t1為駕駛者反應時間,取2.5 s(判斷時間1.5 s,運行時間1.0 s)。
上述停車視距只將整個階段分為兩部分,這與汽車緊急制動時的實際情況存在偏差。當駕駛員接收到需要緊急停車的信號,大腦做出制動指令,駕駛員將腳移到制動踏板,踩下制動踏板。由于制動踏板存在自由行程,以及制動器存在間隙,即制動蹄片與制動鼓(盤)之間的間隙,所以制動器需要一段時間才能發揮作用。并且隨著使用時間的增長,制動摩擦片會被不斷磨損,其間隙增大,也會延長制動器的反應時間。現行規范的停車視距在制動階段是假定汽車在制動開始時便得到最大制動力,忽略了制動力逐漸上升至最大值的這個階段。
停車視距模型包含4個階段,反應階段、間隙消除階段、制動力上升階段和完全制動階段,如圖 1所示。
![]() |
| 圖 1 停車視距四階段模型Fig. 1 Four-stage stopping sight distance model |
圖中t1為反應階段是駕駛員發現前方障礙物至其將腳移至制動踏板這個過程,即感應階段和操作反應階段,該階段與規范相同行駛距離為S1。t2為間隙消除階段,是從駕駛員的腳觸碰到制動踏板至制動器間隙完全消除并開始起作用的這個過程,該階段汽車行駛距離為S2。t3為制動力上升階段,即制動力從零上升至最大值的過程,制動力與時間的關系近似為線性增長,該階段汽車制動減速度與時間的關系相應簡化為線性增長。該階段汽車行駛距離為:
![]() |
(2) |
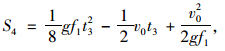
汽車制動力達到最大值后,以最大減速度持續制動直至汽車停止行駛,即完全制動階段:
![]() |
(3) |
則停車視距:
![]() |
(4) |
根據《公路路線設計規范》(JTG D20—2006),反應時間t1取值2.5 s, 間隙消除時間t2取值0.05 s。不同類型的制動器所需時間各有差異,《機動車運行安全技術條件》(GB7258—2012)中規定:對液壓制動的汽車不應大于0.35 s,對氣壓制動的汽車不應大于0.60 s;汽車列車和鉸接客車、鉸接式無軌電車的制動協調時間不應大于0.80 s。在考慮安全性和經濟性的情況下,該停車視距模型的制動力上升的時間t3取0.60 s,使絕大多數的汽車能夠滿足其制動的需求。假定在縱坡坡度為零的潮濕路面條件下,停車視距式(4)計算值與現行規范的停車視距如表 1。
|
設計速度/ (km·h-1) |
運行速度/ (km·h-1) |
式(1)計算值/m |
規范值/ m |
式(4)計算值/m |
| 120 | 102 | 212.0 | 210 | 221.8 |
| 100 | 85 | 153.70 | 160 | 161.96 |
| 80 | 68 | 105.90 | 110 | 112.45 |
比較結果表明,在同樣條件下,式(4)的計算值普遍大于現行規范的停車視距計算值,在安全性程度上比現行規范的停車視距要高。
2 基于可靠度理論的視距分析2.1 停車視距可靠度功能函數建立停車視距的作用在于讓駕駛員能夠安全及時平穩地完成停車、會車、超車等行車行為。用于停車視距可靠性分析的功能函數應為兩部分:一是由道路為駕駛員提供的行車視距,即公路技術規范標準值;二是駕駛員駕駛汽車行駛在道路上,為保證行車安全實際需要的行車視距。根據可靠度相關理論,可用式(5)描述分析行車視距可靠性的功能函數D:
![]() |
(5) |
式中,SR為公路技術規范行車視距規定值;SS為保證安全行車所需的行車視距。
2.2 可靠度功能函數參數分析功能函數D具體涉及的變量較多,現將駕駛員反應時間、汽車運行速度、路面摩擦系數等基本變量作為隨機變量。由于不同的汽車采用不同的制動器,即使是同種制動器也會由于結構、材料差異導致性能差異,難以用同樣的標準去衡量,故將制動器間隙消除時間、制動力上升時間這兩個變量作為確定性變量。
目前,大多數研究認為駕駛員的反應時間近似服從正態分布或對數正態分布。李霖等[14]通過采集上海地區6種典型的危險交通工況中的駕駛員反應時間,發現反應時間能夠很好地被對數正態分布擬合,并給出了其樣本統計的均值與標準差。故本研究采用更符合國內情況的,其中反應時間最長的工況的參數,即均值為1.387 s,標準差為0.34 s,且服從對數正態分布。
汪雙杰、方靖[15]等以處于自由流狀態的行駛車輛為研究對象,驗證運行速度服從正態分布的假設。王麗金[16]研究河南、廣東、重慶、陜西等地的高速公路汽車運行速度分布情況,均較好地驗證了其服從正態分布。本研究采用對高速公路汽車運行速度統計樣本經SPSS軟件K-S檢驗得到的正態參數,見表 2。
| 設計速度/(km·h-1) | 均值 | 標準差 |
| 120 | 105.096 6 | 14.699 52 |
| 100 | 86.802 6 | 8.570 46 |
| 80 | 75.416 3 | 12.467 62 |
汽車與路面的摩擦系數與路面材料、天氣氣候、車速、輪胎性能等因素有關。現有研究大多表明正態分布能夠較好地描述路面摩擦系數。文獻[17]給出了潮濕路面和干燥路面的摩擦系數服從正態分布的情況,見表 3。
| 路面狀況 | 速度/(km·h-1) | 摩擦系數均值 | 摩擦系數標準差 |
| 潮濕 | 80.4 | 0.419 2 | 0.091 3 |
| 潮濕 | 85 | 0.401 3 | 0.091 3 |
| 潮濕 | 90 | 0.382 6 | 0.091 3 |
| 潮濕 | 95 | 0.357 1 | 0.091 3 |
| 潮濕 | 99.8 | 0.349 8 | 0.091 3 |
| 干燥 | 任意速度 | 0.885 2 | 0.094 9 |
根據以上各參數的概率分布情況,采用式(4)構建可靠度函數來檢驗我國現有規范的停車視距的可靠性。因現有規范中沒有對停車視距可靠度作出明確規定,一般來講,由于視距不足而引發的事故程度與由路面結構引發的事故程度較接近,故以《公路工程結構可靠度設計統一標準》(GB/T 50283—1999)中對路面結構目標可靠度的規定為依據進行求解,見表 4。
| 安全等級 | 一級 | 二級 | 三級 |
| 公路等級 | 高速 | 一級 | 二級 |
| 目標可靠度PS/% | 95 | 90 | 85 |
| 目標可靠指標β | 1.645 | 1.282 | 1.036 |
現以求解設計速度為120 km/h時停車視距可靠度為例。
研究[18]表明路面摩擦系數隨速度增加呈指數分布,隨著速度增加,路面摩擦系數逐漸趨近于某一值,故設計速度為120 km/h時,其參數路面摩擦系數可以參照表 3中速度為99.8 km/h時的路面摩擦系數值。停車視距可靠性功能函數中采用的參數變量見表 5。
| 參數變量 | 分布類型 | 平均值 | 標準差 |
| 反應時間t1/s | 對數正態分布 | 1.387 | 0.34 |
| 運行速度v0/(km·h-1) | 正態分布 | 105.096 6 | 14.699 52 |
| 縱向摩阻系數f1 | 正態分布 | 0.349 8 | 0.091 3 |
根據視距可靠度功能函數式(5),SR為210 m,SS為本研究的停車視距計算式,通過JC法進行多次迭代計算得:
| 迭代次數 | t1* | v0* | f1* | β | Pf/% | PS/% |
| 1 | 1.387 | 105.096 6 | 0.349 8 | 0.606 1 | 27.22 | 72.78 |
| 2 | 1.383 462 | 112.020 6 | 0.316 458 | 0.603 1 | 27.32 | 72.68 |
| 3 | 1.378 119 | 111.484 5 | 0.312 598 | 0.603 2 | 27.32 | 72.68 |
| 4 | 1.377 564 | 111.461 4 | 0.312 397 | 0.603 3 | 27.32 | 72.68 |
| 5 | 1.377 534 | 111.461 | 0.312 379 | 0.603 3 | 27.32 | 72.68 |
結果表明,現行規范在設計速度為120 km/h對應的視距210 m的可靠指標僅為0.603 3,其失效概率為27.32%,可靠概率僅為72.68%,參照表 4,其在一定程度上沒有符合安全等級為一級的可靠度要求。
若取SR為221.80 m,即表 1中停車視距式(4)的計算值,參數不變,經求解迭代結果顯示:視距取SR=221.80 m時,可靠指標為0.772 3,其失效概率為22.01%,可靠概率為77.99%,可靠程度依然較低,不滿足安全等級為一級的可靠度要求。較SR=210 m時的計算結果而言,可靠概率較大,該視距值更加可靠,同時證實了優化的停車視距計算模型較為可靠。
相應地,可求解出設計時速分別為100, 80 km/h時停車視距可靠度,結果匯總于表 7。
| 設計速度/(km·h-1) | t1* | v0* | f1* | SR | β | Pf/% | PS/% | 備注 |
| 120 | 1.387 | 105.096 6 | 0.349 8 | 210 | 0.603 3 | 27.32 | 72.68 | SR=210, 160, 110為規范視距值;SR=221.80, 161.96, 112, 45為停車視距式(4)的計算值 |
| 221.80 | 0.772 3 | 22 | 78 | |||||
| 100 | 1.387 | 86.802 6 | 0.349 8 | 160 | 0.907 8 | 18.2 | 81.8 | |
| 161.96 | 0.95 | 17.11 | 82.89 | |||||
| 80 | 1.387 | 75.416 3 | 0.419 2 | 110 | 0.709 4 | 23.9 | 76.1 | |
| 112.45 | 0.783 6 | 21.66 | 78.34 |
根據上述計算結果,現行規范在設計速度為120,100,80 km/h時停車視距可靠概率分別為72.68%,81.8%,76.1%,且均小于表 4中對應的可靠度要求??芍幏吨幸幎ǖ耐\囈暰嘣诮⒌囊暰嗫煽慷裙δ芎瘮礑的檢驗下,其失效概率較大。另外,求解時SR取表 1中停車視距式(4)計算值進行計算,得到的可靠概率雖仍不滿足安全等級為一級可靠指標的要求,但均高于利用規范求得的值,優化后的停車視距計算模型更加安全可靠。
3 基于可靠度理論的停車視距選用標準根據表 4中高速公路對應的安全等級為一級可靠指標的要求,以及已知的參數變量,通過停車視距可靠度功能函數D反算出相應指標下道路所需提供的視距值SR,見表 8。
| 設計速度/(km·h-1) | 120 | 100 | 80 |
| 安全等級 | 一級 | 一級 | 一級 |
| 可靠概率/% | 95 | 95 | 95 |
| 停車視距計算值/m | 294.795 8 | 198.094 3 | 144.910 3 |
| 停車視距推薦選用值/m | 295 | 200 | 145 |
上表計算時采用可靠概率95%進行反算,即將失效概率降低至5%,120,100,80 km/h速度下停車視距失效概率較規范值而言分別降低22.32%,13.2%,18.9%。
4 實例分析現以某全封閉的六車道高速公路為例,選取樁號K156+000~K200+000區間段,長44 km,設計速度為120 km/h。根據該公路當年事故統計資料,全年共發生交通事故1 689起。根據不同的事故原因分類來說,追尾一般由視距不足引起,駕駛不當也與行車視距有一定的聯系,由圖 2可知,追尾和駕駛不當引發的交通事故占總的48.61%,而這也意味著有相當一部分的事故可能是由視距不足引發的。
![]() |
| 圖 2 各類事故原因分布圖Fig. 2 Distribution of various accident causes |
為了進一步研究視距與事故的聯系,現將該公路的事故多發路段即單向每公里事故次數大于10的路段,列于表 9。
| 序號 | 樁號范圍 | 方向 | 事故率/(次·km-1) |
| 1 | K157+100~K157+800 | 北行 | 22.86 |
| 2 | K160+080~K160+700 | 北行 | 18.57 |
| 3 | K173+100~K173+900 | 南行 | 21.25 |
| 4 | K184+350~K185+500 | 南行 | 11.30 |
| 5 | K189+000~K190+200 | 南行 | 27.50 |
| 6 | K194+900~K195+930 | 北行 | 22.33 |
4.1 行車視距失效概率
根據汽車在各個事故多發路段的運行速度最大值vmax與最小值vmin,采用停車視距可靠度功能函數D,通過蒙特卡羅法計算其停車視距的失效概率。安全等級一級要求的失效概率需小于0.05,根據相關研究,為保證計算精度,單次可靠度計算的抽樣次數必須大于2 000次,工作量較大,故通過MATLAB編程進行計算。
將同一事故多發路段按照不同的縱坡劃分,根據上述參數變量抽樣類型,以及事故多發路段的縱坡大小,采用蒙特卡羅法,單個路段進行10 000次抽樣計算現行規范的小客車停車視距失效概率以及滿足95%可靠概率所需的視距,如表 10所示。
| 序號 | 樁號范圍 |
運行速度/ (km·h-1) |
縱坡/ % |
失效概率Pf/% | 95%可靠視距/m | |
| 最大值 | 最小值 | |||||
| 1 | K157+100~K157+800 | 114.85 | 111.59 | 0.408 | 37.52 | 302.5 |
| 2 | K160+080~K160+700 | 118.00 | 116.10 | -0.900 | 55.45 | 337.2 |
| 3 | K173+100~K173+500 | 117.65 | 116.35 | -1.100 | 55.34 | 339.5 |
| K173+500~K173+900 | 116.35 | 107.00 | 0.450 | 34.09 | 295.1 | |
| 4 | K184+350~K184+550 | 111.77 | 108.71 | 0.400 | 30.49 | 287.9 |
| K184+550~K185+300 | 110.27 | 107.85 | -0.408 | 30.60 | 292.9 | |
| K185+300~K185+500 | 110.15 | 108.79 | 0.600 | 27.49 | 281.6 | |
| 5 | K189+000~K189+400 | 117.96 | 114.89 | -1.100 | 53.30 | 336.7 |
| K189+400~K190+200 | 117.73 | 110.86 | 1.000 | 39.02 | 301.5 | |
| 6 | K194+900~K195+100 | 113.20 | 109.19 | -0.350 | 36.10 | 302.8 |
| K195+100~K195+930 | 121.89 | 113.20 | -0.900 | 56.40 | 339.6 | |
4.2 結果分析
(1) 在設計速度為120 km/h的事故多發路段的視距失效概率均大于25%,小客車視距失效概率大于50%的事故多發路段占其總的41.67%,失效概率大于30%的事故多發路段占其總的93.33%。視距失效概率較大,表明視距設計不足,易引發交通事故,與前文所述這些路段均是單向每公里事故次數大于10的路段相符。
(2) 根據表中計算的事故多發路段所需滿足一級安全等級、95%可靠概率的視距,可以看出其較好地符合表 8中基于可靠度理論的視距推薦值。
5 結論從汽車實際的制動原理出發,將制動過程分為4個階段:駕駛員的感覺反應階段、制動系統的間隙消除階段、制動力上升階段以及完全制動階段。由此考慮了全過程的停車視距模型,在同樣的限制條件下,其計算的停車視距大于現行規范值。
根據構建的停車視距,建立視距的可靠度功能函數,對現行規范的停車視距標準進行可靠度分析,發現其未達到相應安全等級的要求。并根據安全等級一級的可靠性要求計算出相應的停車視距值,給出了不同設計速度下基于可靠度理論的行車視距選用標準值,推行基于可靠度理論計算得到的停車視距值進行高速公路設計可提高道路安全性。
本研究中反應時間、運行速度、路面的摩擦系數等參數的分析是基于現有研究成果,因此,對設計變量的統計分析將是今后研究的主要內容,以提高可靠性分析準確性?,F有規范中沒有對停車視距可靠度作出明確規定,本研究以規范對路面結構目標可靠度的規定為依托求解可靠度函數,所以,停車視距可靠度如何規定也是今后需要研究的問題。
更多相關信息 還可關注中鐵城際公眾號矩陣 掃一掃下方二維碼即可關注












